强化学习简介

1 简介

强化学习源于生物学的启发,即通过惩罚或者奖励来训练动物。几十年来,强化学习在控制方面都有着广泛的应用。而AlphaGo、AlphaGoZero的成功让强化学习大火。现在,强化学习已经成为自动驾驶等领域前沿研究的主流方法。另外,一些机器翻译、图片标题生成的研究中也尝试了强化学习。常见的强化学习方法包括:Q-learning、策略梯度(Policy gradient)、Actor-Critic。

2 一些基本概念

强化学习常见的应用场景中,包含有一个环境、一个代理(Actor)。Actor通过执行动作,改变状态,在这过程中可以从环境中得到一个奖励或者惩罚信号。一般我们会把时间分为T步,即把时间看成是离散的,当然如果是连续的时间,可以通过每隔一段时间采样信号,将连续时间转化为离散的信号。每个时间t,Actor执行一个动作a_t,该时刻的状态为s_t,到时间t=T时终止(terminal),时间[0,T]的整个过程叫做一个episode。例如:围棋中,Actor是下棋的AI,动作是选择下棋的位置,而状态是当前的棋子分布,整个棋局是一个episode。要注意,即使我们确定了动作,也不能确定下一个状态,因为我们不知道对手会怎么下。通常,为了方便学习,我们使用一个随机策略来选择要执行的动作,记为\pi,它是一个在动作空间的随机分布。

为了进行学习,我们还需要一个奖励信号,通常用r_t来表示,在围棋中,我们可以设置r_t=1表示在这一步中赢了,如果在这一步中输了则r_t=-1,而在其他步骤中,r_t=0。很明显,在结束之前的时间里,我们没有相应的奖励信号。因此,通常会使用一个长期的奖励信号来指导当前的步骤,r_t+\gamma r_{t+1}+\gamma^2 r_{t+2}^2+\cdots。这里的\gamma是一个[0,1]之间的数字,表示奖励信号的衰减(discount factor)。当然这个长期奖励信号是一个随机变量,因为我们未来时间的动作、环境本身都存在着不确定性。把这个长期奖励信号的期望值记为v_*(s),由于这个值是未知的,我们通常使用它的估计值(state-value)V(s_t)。除了state-value之外,还有一个action-value,这个与state-value类似,记为Q(s_t,a_t),它是给定状态s,以及动作a的情况下,长期奖励信号的估计值,而state-value是给定状态s下的长期奖励信号的估计。可以想象,如果我们每次都选择一个动作使得下一个状态的value最大,那么应该可以得到不错的结果。另外,\delta_t=r_t+\gamma V(s_{t+1})-V(s_t)通常用来表示时间差误差(temporal-difference error),实际上是用对V(s_t)的误差估计(V(s_t) \approx r_t+\gamma V(s_{t+1}))。

PS:在RL:an introduction一书[1]中作者建议使用大写字母来表示随机变量(如:Q, S),用小写字母来表示随机变量的具体取值(如:q, s)。

3 Q-learning

Q-learning算法学习一个action-value函数。通过估计某个状态s下,执行某个动作a后的奖励信号期望值。已经有文献证明对于任意finite Markov decision process (MDP)[2],Q-learning算法可以得到最优解。在学习到Q函数以后,每次都选择执行Q值最大的动作。

当然,在学习过程中,如果策略是每次都选择Q值最大的动作,那么学习过程就只会选择一些已经探索过的局面,而无法学习到新的东西。这个很像一些棋类AI,每次都是相同的套路。这个问题被称为exploration-exploitation problem,即每次是探索新的情况还是要利用已经学习到的知识。而在Q-learning的学习中,为了兼顾探索性,通常会使用一些随机的策略,包括:

1)\epsilon -policy:以1-\epsilon的概率选择Q值最大的动作,以\epsilon的概率随机选择一个动作。

2)Boltzmann Policy:选择动作a的概率服从\frac{Q(s_t,a_t)/\tau}{\sum_{a} Q(s_t,a)/\tau}。这里的\tau是一个参数,值越大,那么越倾向于探索新的情况,通常会选择让它在学习过程中不断衰减。

Q-learning的参数更新函数为:

Q-learning并没有等到整个episode结束以后再学习,而是通过当前时间的奖励信号,以及下一个时刻的最大Q值来进行参数更新。除了terminal步骤以外,其他步骤都利用了已经学习到的Q函数。

Q-learning最大的缺点就是学习速度慢,另外学习过程中policy也难以确定,学习过程中的policy与最终使用的policy也存在不一致性。当action空间很大的时候,函数的维度会很高。

3.1 SARSA

SARSA与Q-learning非常像,它的学习过程为:

它们其实都是利用了Q(s_t,a_t)\approx r_t+\gamma Q(s_{t+1}+a_{t+1})。不过Q-learning学习过程中下一个步骤的动作不是确定的,它的一个样本是<s,a,r,s’>而SARSA中下一个步骤中的动作是确定的,它的一个样本是<s,a,r,s’,a’>(这里用s’,a’表示下一个时刻的状态与动作)。SARSA使用已经发生的动作序列进行学习,严格按照policy来选择动作(例如Boltzmann Policy),因此被称为on-policy algorithm。而Q-learning中的max_a(.)实际上并不一定非要执行动作,所以也可以从已经发生的episode中学习,因此被称为off-policy algorithm。以围棋为例,off-policy algorithm可以从以前下过的棋局、其他人下过的棋局学习知识;而on-policy algorithm只能边下棋边学习。

4 Policy gradient

假设策略的参数为\theta,通过设定一个策略的性能指标J(\theta),Policy gradient通过J的梯度来学习最优策略。

其中Actor-Critic也是Policy gradient中的一种方法,它同时学习了一个policy与value函数,这里的actor指的是policy,即动作执行者,而critic指的是value函数,即对于某个状态的评价。

Q-learning与SARSA学习中使用的policy与最终使用的policy存在不一致性,相对而言,policy gradient不存在策略退化问题,因为它学习到的策略正是最终使用的策略。

一般来说,policy的性能指标可以选择为:

即在初始状态下,使用这个策略能够达到的长期奖励信号期望值。以围棋为例,这好比说,使用该策略的胜率有多高。这里要注意v是一个随机变量的期望值。

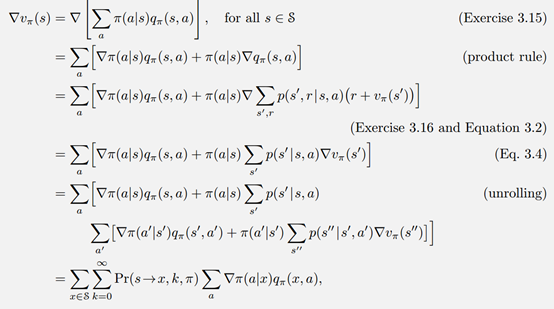
通过一些推导,可以得到:

这里\mu(s)是在使用策略\pi的情况下,到达状态s的概率。

推导过程分为2步,首先:

这里的Pr(s->x,k,\pi)表示在该策略下,在第k步从状态s转移到x的概率。然后,

整个推导过程主要在于使用状态、动作的概率将期望的计算公式展开。

算法REINFORCE方法使用蒙特卡洛采样来估计。

由于

这里的G_t表示return,G_t=R_{t+1}+\gamma R_{t+2}+\gamma^2 R_{t+3}+\cdots,可以看成是q_\pi (S_t,A_t)的采样值。因此,REINFORCE的更新公式为:

利用ln(x)=dx/x的导数性质,以及加上对于衰减因子的考虑。更新公式可以简化为:

进一步,这里可以使用一个编程技巧,即使用crossentropy(G, \pi(a|s))作为损失函数可以得到等价的更新公式。

REINFORCE with baseline: 在policy gradient的更新公式中,将action-value减去一个baseline值,可以得到一个更加一般化的更新公式:

只要basline值b(s)与a无关,那么式子依然是有效的,因为从平均结果来看:

所有的action的概率之和为1,因此这个式子为0。也就是说加入一个baseline对于梯度的计算没有影响。但是实验表明,加入baseline可以降低variance,使得训练过程更加有效。

如果将baseline看成对于state-value的估计v(S_t,w)(w表示state-value函数的参数),那么相应的算法变为:

5 Actor-critic

上面这个算法只是将state-value看成是一个baseline,而actor-critic对于state-value的利用更加彻底,使用一种自举(boostrapping)的方式来利用state-value函数。REINFORCE with baseline方法使用蒙特卡洛采样的方式,学习更慢(通常会产生的估计variance很大),而且很难进行在线学习(例如棋类AI边下棋边更新参数,而不是等到下完再进行更新)。而actor-critic则克服了这些缺点。

Actor-critic的更新式子为:

具体的更新算法为:

现在很多模型都是使用两个神经网络分别作为state-value以及policy函数,由于它们的输入都是状态S,因此有时会设定两个神经网络共享底层部分,即参数w与\theta有一部分是重叠的。

值得注意的是本文的算法都只举了one-step的例子,实际上它们都可以推广到multi-step中,例如把\delta_t改为:

R_t+\gamma R_{t+1} +\gamma ^2 R_{t+2}+\cdots+\gamma ^n R_{t+n} +\gamma^{n+1} V(s_{t+n+1})-V(s_t)

6 优化算法

DeepMind针对强化学习提出了很多的优化算法,目前最好用的PPO,在此之前还有A3C、TRPO。这些算法都是异步更新算法,可以同时运行多个actor来更新参数,以便加速训练。PPO提出一种Clipped surrogate objective,对reward进行裁剪,使得训练过程更加稳定。

7 总结

强化学习非常适合于一些反馈信号有延迟的场景。一些不可微的指标也可以直接当成reward来学习。因此强化学习适用于很多应用场景,有着其他算法不可比拟的优点。

参考:

[1] Richard S. Sutton and Andrew G. Barto. Reinforcement Learning: An Introduction. http://incompleteideas.net/book/bookdraft2017nov5.pdf

[2] https://en.wikipedia.org/wiki/Markov_decision_process

[3] http://rll.berkeley.edu/deeprlcourse/f17docs/lecture_5_actor_critic_pdf.pdf

大量强化学习算法的Keras代码:

https://github.com/keras-rl/keras-rl

DeepMind公开的强化学习代码(基于tensorflow,包括PPO):

https://github.com/openai/baselines

发表评论